论文题目:Deep Residual Learning for Image Recognition
论文题目:Identity Mappings in Deep Residual Networks
ResNet v1: DBL结构
ResNet v2: post-activation or pre-activation BLD的结构, 先使用BN进行预激活。
深度学习最显著的特点就是它的网络深。之前在卷积神经网络中也提到过,浅层的卷积层只能提取一些诸如纹理等比较简单,抽象的特征,而比较深层的卷积层可以提取到诸如器官、人脸等比较复杂、具体的特征。 直观的感受:深的网络一般会比浅的网络好,想要提升模型的准确率,最直接的方法就是加深模型网络的深度。
然而,从之前介绍的经典深度网络(LeNet, AlexNet, VGG, GooLeNet)中可以看出,虽然网络深度有所增加,并且越深的效果越好,但总体网络层数并不大。如下图所示,最深的GooLeNet不过也就22层。为什么不直接搞个成百上千层呢?

对于一个常规网络,如下图所示,通过实验验证可得,当网络层数比较深的时候,模型的效果却越来越差(模型的误差越来越高)。如果对于神经网络有一定基础的话,其实不难理解,随着网络层数的加深,反向传播的过程中,靠后的网络参数可以获得比较好的训练更新,而比较靠前的网络,由于链式求导法则连乘的性质,梯度信号越来越弱,网络参数更新越来越难。 也就是说,随着网络的加深,网络将会遇到梯度弥散(梯度消失)的问题,深度网络变得难以训练,不同深度的层训练不同步。【举一个直观的例子,假如采用Sigmoid函数,对于幅度为1的信号,每向后传递一层,梯度就衰减为原来的0.25,层数越多,衰减越厉害】。

前面的实验描述的是,当网络比较深时,模型的准确率会不如浅层的神经网络。下面的实验描述的是随着网络层数的增加,模型的准确率会先上升,然后达到饱和,如果网络深度继续加深时,会导致准确率的下降,如下图所示:

ResNet引入了残差网络结构(residual network),通过这种残差网络结构,可以把网络层弄的很深(据说目前可以达到1000多层),并且最终的分类效果也非常好,残差网络的基本结构如下图所示,很明显,该图是带有跳跃结构的:

从上述结构中可以看出,Residual network中包含一条捷径,可以直接将前两层的信息x传输到后两层,(其结构会想到过控当中的前馈控制)这种结构实际上是想让x无损失的传递到更深层的网络当中,也就是说,让模型自己去选择接受x的量。当第二层的权重和偏执为0时,就相当于只走了捷径,即a[l]直接将信息传到了a[l+2]。但如果仅这样理解,会感觉有种深层的网络好像也只是浅层的网络的错觉,你给它开辟了捷径,走捷径就好了。
实际上,这样种理解只是为了描述残差块具有学习恒等式函数的能力,也是证明当信息经过很深的层进行转换后,信息不会丢失。这是基于前向信息转换过程的理解。基于反向误差的传播过程的理解,其将深层的网络截成一小段、一小段的网络,并且能够保证误差在各段之间几乎无衰减的传播,而残差块中层数比较少,误差传播起来衰减的程度在可以接受的范围之内。这样也就有效的解决了深层网络中,梯度消失的问题。
深度学习中的问题不仅仅是随着网络层数的增加,误差的反向传播可能会消失弥散的问题,还有信息经过正向传播至网络输出时,信息也会有弥散丢失的问题。
【DenseNet】一文中有相应的描述:
As CNNs become increasingly deep, a new research problem emerges: asinformation about the input or gradientpasses through many layers, it can be vanish and "wash out" by the time it reaches the end (or begining) of the network.



从上述34层的结构图中可以看出,在网络的捷径中,有实线的捷径,也有虚线的捷径。
- 实线的Connection部分,表示通道相同,采用计算方式为H(x)=F(x)+x
 - 虚线的Connection部分,表示通道不同,采用的计算方式为H(x)=F(x)+Wx,其中W是卷积操作,用来调整x维度的。
 
残差块有两层残差学习单元,也有三层残差学习单元,如下图所示yolo中用的就是三层的残差学习块。
三层的残差学习单元的结构与优化的Inception V1中的思想一致,首先由于输入的feature map的通道数量可能比较大,直接进行3*3卷积可能会造成卷积核参数数量过大。需要首先降低输入的feature map的通道数量,再进行3*3的same卷积,最后,为了与捷径进行很好的加和,需要采用1*1卷积将通道数量提升至256。 由于做的都是same卷积,但为了减少输入的尺寸,网络中会不定期的选择池化操作,或者步长为大于1的卷积操作 进行降采样。

以下是实验对比,可以看出加了残差块的深层网络能够获得更好的效果。

ResNet v2 和 ResNet v1 的主要区别在于,
- "shortcut connection"(捷径连接)的非线性激活函数(如ReLU)替换为 Identity Mappings。
 - ResNet v2 在每一层中都使用了 Batch Normalization。
 
以下有5张与Residual Network很像的图,一起来辨别真伪吧!

其中,weight为conv层; addition表示相加。
根据之前Residual Network v1的描述,仿佛这5种结构都能够满足要求。 那么2016年ResNet原文是哪一个结构呢?而且其他四组结构的设计是否可行?
首先, 2016年ResNet原文中使用的是结构(1),其特点包括:
- BN和ReLU在weight的后面,这与yolo中理解的DBL是相同的。
 - 最后的ReLU在addition的后面。
 
【如果将右侧的部分称为residual分支,左侧的部分称为identity分支。】
按照常规,把两个DBL都放在residual分支中不更好么?就是(3)中的结构。那么(3)是否OK?
在(3)中,ReLU作为residual分支的结束,则residual分支得到的结果永远非负,这样前向的时候输入会单调递增,从而影响特征的表达能力。也就是说,希望residual分支的结果是(-∞, +∞)的。图(3)不OK!图(3)会使得前向过程输出单调递增,影响模型对于特征的表达。
那如果把BN和ReLU均移到addition后面呢?图(2)是否OK?
将BN也放在addition外面,BN将会改变identity分支的分布,影响了整个的信息传递,在训练的时候会阻碍loss的下降。 ----- 它的存在会有损反向传播过程中identity误差的传播。(它是一层,会对其进行链式法则的求导,会有衰减,会对后续的identity分支产生影响。层数多了,依旧会有梯度消失的可能) 因此,图(2)不OK! 图(2)会阻碍反向传播时梯度信息无障碍的传递。
综上ResNet的特点:
- 不轻易改变identity分支的值;
 - 不在其外部添加分支;
 
梯度信息可以无障碍的传递。
再来看图(1)~图(3)与图(4)~图(5)的区别,图(1)~图(3)是典型的"post-activation",而图(4)~图(5)是"pre-activation"。也就是激活函数是在conv层之前,还是之后。
【"post-activation"】

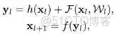
xl表示第l个残差单元的输入特征,Wl表示

作者将ResNet v1中相同形状连接堆叠的模块称之为残差单元(Residual Units)。

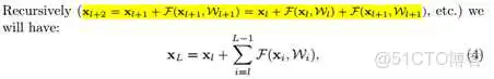
那实际上,残差网络可以表示为一个递归的运算:

也就是说,任意深层L的单元xL都可以表示成所有的残差输出的总和再加上x0。
对于Eq.4 其反向传播的可以表示为:

Eq.5中,描述了在ResNet中,梯度可以分解为两个部分:
- 其一,是将误差在没有任何权重的层中直接传播;其保证了误差信息可以直接的传输到任意的浅层单元中。 ---- 此处验证了之前对于V1可以解决反向传播梯度消失的理解的正确性!
 - 其二,是通过一些包含权重的层进行传播。 与常规的plain network 一样。
 
作者又分析了,如果在identity分支中增加一些东西的话(如下图的(b-f)),都会影响误差的反向传递。即使是一个因子λ,都会因反向传播时λ的连乘而导致误差信号的衰减。


Table 1 显示的实验结果验证了 short-cut中的操作 (缩放、门控、1×1 的卷积以及 dropout) 会阻碍误差信息的传递,以致于对优化造成困难。【门控与LSTM中的门一样,就是一个logistic函数】

接下来,才是关于ResNet V2的描述:
使用了He2016中的ResNet-110和164层瓶颈结构进行实验,残差单元包含一个1×1的层来降维,一个3×3的层,还有一个1×1的层来恢复维度。【之前提到的3层残差结构】

其在original的基础上,提出了4种变体,并论证其可能性:(前文详细的介绍过了)
- BN after addition (图b)
 - ReLU before addtion (图c)
 - post-activation or pre-activation(图d and 图e)
 
从Table 2的实验结果上,我们可以发现图(4)的结构与ResNet原结构伯仲之间,稍稍逊色,然而图(5)的结构却好于ResNet原结构。
图5的结构好的原因在于两点:
1)反向传播基本符合假设,信息传递无阻碍;
2)BN层作为pre-activation,起到了正则化的作用;

版权声明:
本文来自互联网用户投稿,该文观点仅代表作者本人,不代表本站立场。本站仅提供信息存储空间服务,不拥有所有权,不承担相关法律责任。
如若内容造成侵权、违法违规、事实不符,请将相关资料发送至xkadmin@xkablog.com进行投诉反馈,一经查实,立即处理!
转载请注明出处,原文链接:https://www.xkablog.com/rfx/19146.html