文章目录
- 神经网络各层输出的可视化
- 原始图片
- 第一层卷积
- BatchNorm
- ReLU
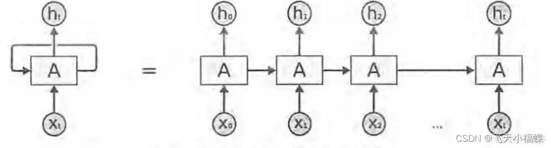
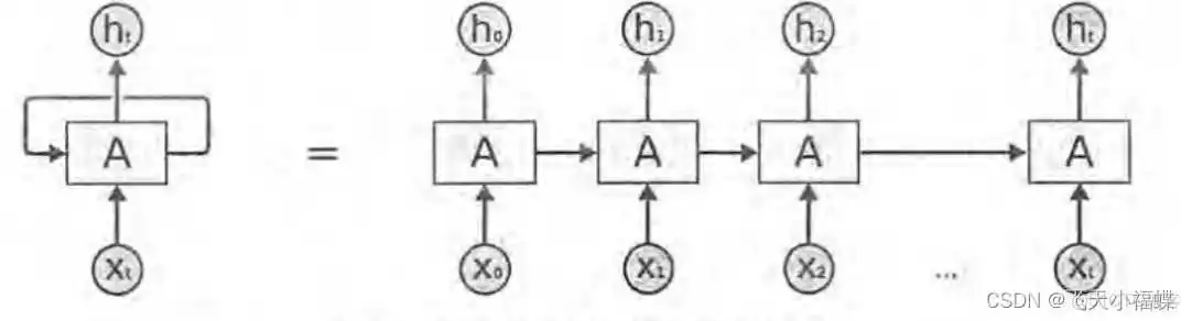
- 循环神经网络
- 损失函数
- 模型优化器optim
- 学习率





均方误差是指所有预测值和真实值之间的平方差,并将其平均值。常用于回归问题。
2、平均绝对误差(MAE)
作为预测值和真实值之间的绝对差的平均值来计算的。当数据有异常值时,这是比均方误差更好的测量方法。
3、均方根误差(RMSE)
类似于平均绝对误差但不求绝对值。这个损失函数的缺点是负误差和正误差可以相互抵消,所以当研究人员知道误差只有一个方向时,应用它会更好。
到此这篇resnet网络(resnet网络输入的图片尺寸)的文章就介绍到这了,更多相关内容请继续浏览下面的相关 推荐文章,希望大家都能在编程的领域有一番成就!
版权声明:
本文来自互联网用户投稿,该文观点仅代表作者本人,不代表本站立场。本站仅提供信息存储空间服务,不拥有所有权,不承担相关法律责任。
如若内容造成侵权、违法违规、事实不符,请将相关资料发送至xkadmin@xkablog.com进行投诉反馈,一经查实,立即处理!
转载请注明出处,原文链接:https://www.xkablog.com/rfx/17628.html