
他山之石,可以攻玉,教有教法,教无定法。
针对教学难点,阳光备课将根据网友的推荐,精选部分优秀教学设计分享给大家,所选素材来自权威媒体,由阳光备课整合,仅供各位老师学习和研究,各部分版权归原作者原出版者所有。
▍来源:网络
推荐:
1.新教材 | 人教A版高中数学·必修·第一册全套·课文·教材分析·教案·课件
2.新教材 | 人教A版高中数学·必修·第二册全套·课文·教材分析·教案·课件
3.新教材 | 人教A版高中数学·选择性必修·第一册全套·课文·教材分析·教案·课件
4.新教材 | 人教A版高中数学·选择性必修·第二册全套·课文·教材分析·教案·课件
5.新教材 | 人教A版高中数学·选择性必修·第三册全套·课文·教材分析·教案·课件
6.数学教师必备 | 手机版《高中数学教学手册(2019新教材版)》 每一课时的课文·教材分析·教案·课件都有了,请收藏,以便随时查阅。
7.数学教师必备 | 手机版《高中数学教学手册(旧版)》
8.手把手教你做中小学课题~超详细,有范例


导读:
教学设计一
一、.教学目标
(1)经历n次方根定义形成过程,理解根式的意义,掌握根式的性质.
(2)了解分数指数幂表示的合理性、简洁性,掌握根式与分数指数幂间的互化.
(3)理解有理数指数幂意义,掌握其运算性质,并通过初步应用提升数学运算核心素养.
达成如上目标的标志是:
(1)学生能从平方根、立方根的概念学习过程中,归纳出一个数的n次方根定义,并能结合具体的例子理解n次方根的含义,及
在n为奇数和偶数时化简的结果,特别是n为偶数时的情况.
(2)学生通过将正整数指数幂转化为被开方数的指数能被根指数整除的根式,推广到被开方数的指数不能被根指数整除的根式,再进一步分析这一运算法则规定的合理性,通过根式与分数指数幂的互化,理解分数指数幂的意义.
(3)学生能正确地完成根式及有理数指数幂的化简运算.
二、教学重点难点
教学重点是:根式与有理数指数幂的意义及运算性质.
教学难点是:理解根式及分数指数幂的定义,及有理数指数幂的运算性质.
三、教学过程
1.独立阅读,明确任务
问题1 请同学们先阅读教材第四章的章头图和章引言,再回答如下问题:
(1)本章将要学习的内容是什么?涉及到哪些函数?
(2)这些函数可以解决哪些现实问题?
师生活动:学生独立阅读教材内容,回答上述问题.
预设的答案:(1)指数函数与对数函数,及其相关知识.
(2)比如人口增长模型是指数函数;不可治愈的强传染病在大量人群中传播的初期都是一个简单的指数增长;声音的强度单位分贝是用对数做单位的(因为人耳对声音的变化很不敏感,其变化成倍数时才会有感);衡量酸碱度的PH值也是取离子浓度的对数做单位的……举例时应突出指数函数爆炸性增长的特点,对数函数增速变缓的特征.
设计意图:明确本章研究内容、目的、实际应用背景,为本章的研究指明方向.
2.创设情境,引发思考
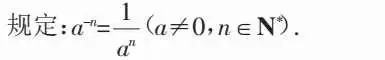
问题2 为了研究指数函数,我们需要把指数的范围拓展到全体实数.初中已经学过整数指数幂,请回顾正整数指数幂、负整数指数幂的意义,并谈谈整数指数幂运算与乘法、除法运算的关系.指数的范围还能进一步扩充吗?
师生活动:学生回答,提出自己的猜想,教师予以归纳.
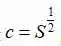
预设的答案:正整数指数幂来源于自乘运算,负整数指数幂运算来源于数的自乘运算的倒数,这种幂运算在表示形式上更加简洁.在学习幂函数时曾经把正方形场地的边长c关于面积S的函数
记作
,因此猜想,指数的范围还能进一步扩充.
设计意图:通过复习整数指数幂的运算,体会指数运算源于数的自乘,同时为了表示的简洁才引入了指数幂运算,阐述指数幂运算产生的必要性,以便引出分数指数幂运算.
3.类比归纳,形成定义
问题3 请类比平方根、立方根的概念,试着说说4次方根,5次方根,10次方根,11次方根,……你认为n次方根应该是什么?
预设的师生活动:先由学生举例解释,然后进行观察、归纳、抽象.
预设答案:
学生举例:①(±2)4=16,我们把
叫做16的4次方根;
②(-2)5=-32,我们把-2叫做-32的5次方根;
③37=2187,我们把3叫做2187的7次方根;
……
教师讲解:
设计意图:引导学生由特殊到一般进行观察、归纳、抽象.形成n次方根的定义.
4.深入分析,精致定义
问题4 对于任意一个实数,它的n次方根分别是怎样的?
预设答案:

设计意图:规范根式的表示方法,通过对被开方数的分类讨论,理解根式的意义.

小结:当n为偶数时,
化简得到结果先取绝对值,再根据绝对值算具体的值,这样就容易避免出现错误.
设计意图:通过分n为奇数和偶数两种情况讨论,进一步理解n次方根概念,形成严谨的逻辑划分思想,提升逻辑推理的核心素养.将正整数指数幂转化为被开方数的指数能被根指数整除的根式引出分数指数幂运算的定义.

预设的师生活动:学生独立完成证明,然后交流展示.
设计意图:通过简单应用,落实一个数到底有没有n次方根,一定先考虑被开方数到底是正数还是负数,还要分清n为奇数和偶数两种情况.通过反例说明两步缺一不可.如果被开方数是一个正数,那么
是一定成立的,并且其结果就是.为引出分数指数幂做铺垫.
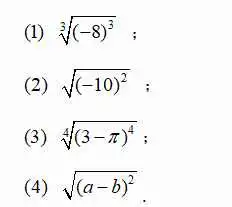
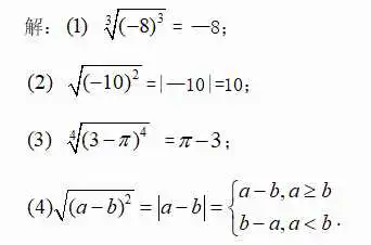
5.初步应用,深化理解
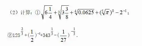
例1 求下列各式的值:

追问:求解的依据是什么?

6.类比研究,获得有理数指数幂
问题6 负整数指数幂是用于表示分式的,如
,其本质是通过扩充指数的范围表示分式.那么根式可以利用指数幂的形式表示吗?如果能,你要如何扩充指数的范围呢?尝试给出一个合理规定表示根式,并谈谈你这样规定的合理性.
预设的师生活动:学生分组交流,可谈出多种方法,教师可提示以不改变指数幂的运算性质为标准.
设计意图:从16世纪比利时数学家斯蒂文尝试用分数对应根式开始,历经17世纪牛顿用有理数指数幂符号表示根式,直至18世纪欧拉明确给出定义,这一表示法才被人们普遍接受和使用.这一历史发展过程充分说明分数指数幂的产生有其历史必然性,学生可以通过类比归纳,感受数学家制定规则时内在的逻辑性、概念之间的相容性,体会数学的简洁美,提升类比推理的能力.
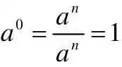
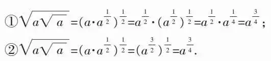
追问1:根据n次方根的定义和数的运算,我们知道

这就是说,被开方数的指数能被根指数整除的根式,可以表示为分数指数幂的形式.那么被开方数的指数不能被根指数整除的根式,比如
,是否也可以表示为分数指数幂的形式?如何表示?
预设的师生活动:学生类比猜想得到答案.
预设答案:
教师讲解:我们规定正数的分数指数幂的意义是
.
被开方数为负时不做研究.
设计意图:为问题6的解决铺设阶梯.
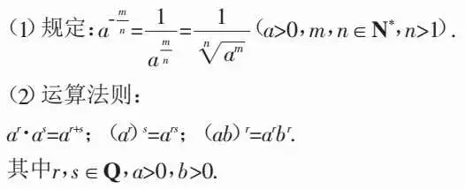
追问2:阅读教科书,理解分数指数幂的意义,谈谈负分数指数幂的意义.零与负数有分数指数幂吗?能不能说说这些规定的合理性?
预设的师生活动:学生阅读教科书,回答问题.
预设答案:负分数指数幂是在正分数指数幂的基础上取倒数.规定0的正分数指数幂都是0;0不能做分母,零的负分数指数幂没有意义. 而负数为被开方数的分数指数幂是需要扩充到复数空间研究的,不能用根式解释,故此时讨论
之类的问题也是没有意义的.
规定:(1)0的正分数指数幂等于0;
(2)0的负分数指数幂没有意义.
设计意图:规范表示方法,通过探讨数学符号形成的科学性与合理性,与根式比较体会分数指数表示在运算中的简洁性,同时理解分数指数幂意义的本质就是根式.
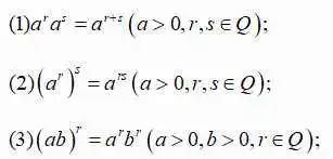
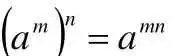
追问3:有理指数幂的运算性质有哪些?
预设的答案:

7.初步应用,深化理解
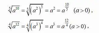
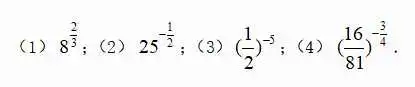
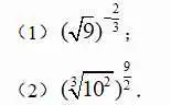
例2 求值:

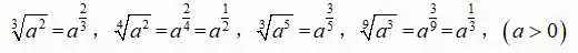
例3 用分数指数幂的形式表示下列各式(其中a>0):

追问:求解的依据是什么?
预设的师生活动:学生独立完成,并展示,教师予以纠错并规范.
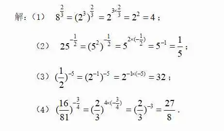
预设的答案:
例2

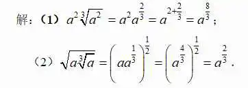
例3

追问:通过求解这些题目,你获得了怎样的经验?
预设的答案:要明确求解的依据,根据规则有序运算.在指数运算中,一定要注意运算顺序和灵活运用乘法公式.
设计意图:求解的依据有理指数幂的运算性质,因此要转化为指数运算而不是转化为根式.体现分数指数幂在运算中的优越性.
8.梳理小结
问题7:谈谈理数指数幂运算性质的特点.
预设的答案:
掌握好分数指数幂的运算性质,其与整数指数幂的运算性质是一致的.其形式上就是幂之间的运算转化为指数间的运算,这一转化的是以降低一个运算级来实现的.
9.布置作业
(1)教科书107页练习1、2、3;

五、目标检测设计
计算下列各式

设计意图:检测根式与分数指数幂的互化及有理数指数幂的运算性质.
本设计节选自:https://www.pep.com.cn/gzsx/xrjbgzsx/xrjgzwd/201911/t20191128_1947596.html 仅提供教学过程,更多内容详见原文。
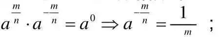
教学设计二
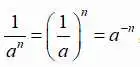
;若令m取-n,则等式中仅有 a-n的意义是不明确的,由 a-n·an= a-n+n可得
.负整数指数幂的引入,使得运算性质更加的简约、方便、统一.

其中,第(5)个性质就是分式的乘方法则.
本设计节选自:李大永, 章红. 基于整体把握的运算主线下的"分数指数幂"教学[J]. 数学教育学报, 2016, 25(1):6. 仅提供教学过程,更多内容详见原文。
教学设计三
教学设计四
,让学生去揣摩其含义,去体会“规定”的合理性和兼容性.
,对分数指数幂的运算尚不熟悉,但对后面的几道试题则明显表现出根式运算的烦琐,通过本例题的训练应达到初步确立利用分数指数幂运算的思维习惯.
.用分数指数幂运算的同学也有两种不同的解法:
等符号该如何理解呢)

END

全
文
完

-----全文到此为止。整理不易,如果喜欢,请点下面公众号名片关注“阳光备课”,并转发到朋友圈。
做课题相关范文:
手把手教你做中小学课题~超详细,有范例(含开题报告、中期检查、结题报告范文)
特别推荐一(2019版新教材)(点下列标题进入):
1.新人教A版高中数学必修第一册课后习题解答
2.新人教A版高中数学必修第二册课后习题解答
3.新人教A版高中数学选择性必修第一册课后习题解答
4.新人教A版高中数学选择性必修第二册课后习题解答
5.新人教A版高中数学选择性必修第三册课后习题解答

特别推荐二(点下列标题进入):
1.人教版高中数学·必修1·教材分析·教案·课件·视频
2.人教版高中数学·必修2·教材分析·教案·课件·视频
3.人教版高中数学·必修3·教材分析·教案·课件·视频
4.人教版高中数学·必修4·教材分析·教案·课件·视频
5.人教版高中数学·必修5·教材分析·教案·课件·视频
6.人教版高中数学·选修2-1·教材分析·教案·课件·视频
7.人教版高中数学·选修2-2·教材分析·教案·课件·视频
特别推荐三(点下列标题进入):
免责声明
【内容由网上搜索而来,由阳光备课整合,各部分版权归原作者所有,在此向作者致谢!摘录、转载,是想为经济欠发达地区教师提高业务水平做点事,仅此而已,如有侵权,请联系删除,谢谢!】

点击↓阅读原文↓更多!
版权声明:
本文来自互联网用户投稿,该文观点仅代表作者本人,不代表本站立场。本站仅提供信息存储空间服务,不拥有所有权,不承担相关法律责任。
如若内容造成侵权、违法违规、事实不符,请将相关资料发送至xkadmin@xkablog.com进行投诉反馈,一经查实,立即处理!
转载请注明出处,原文链接:https://www.xkablog.com/hd-api/19869.html