当前位置:网站首页 > Haskell函数式编程 > 正文

prjab公式(prd公式)



1

应用题核心公式

1. 比例问题

(1) 三个数的比的问题∶ 常用赋值法

若甲∶乙=a∶ b,乙∶丙=c∶d,

则甲∶乙∶丙= ac∶ bc∶ bd

(2) 增长率问题∶ 常用赋值法

b=a(1+x)n(设基础变量为a,平均增长率为b,增长了n期,期末值为b)

2. 行程问题∶路程=速度 * 时间

(1)相遇∶甲的速度 * 时间+乙的速度 * 时间=距离之和

(2)追及∶追及时间=追及距离 * 速度差

(3)迟到∶实际时间-迟到时间=计划时间

(4)早到∶实际时间+早到时间=计划时间

(5)相对速度问题

①迎面而来,速度相加;同向而去,速度相减

②航行问题:顺水速度=船速+水速;逆水速度=船速-水速

3. 工程问题∶工作效率=工作量/工作时间

(1)常用等量关系∶各部分的工作量之和+没干完的工作量=总工作量=1

(2)给水排水问题∶原有水量+进水量=排水量+余水量

4. 利润问题

(1)利润=销售额-成本

(2)利润率=利润÷成本×100%

5. 液问题∶浓度=溶质/溶液×100%

溶液配比问题∶将不同浓度的两种溶液,配成另外一种浓度的溶液,使用十字交叉法。

6. 集合问题

(1)A 或 B=A+B-A 且 B

(2)A 或 B 或 C=A+B+C-A 且 B-A 且 C-B 且 C+A 且 B 且 C

7. 最值应用题

(1)根据题意,化为一元二次函数求最值

(2)根据题意,化为均值不等式求最值

(3)根据题意,化为解不等式问题

2

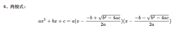
根的判别式

3

数列

4

排列组合概率

5

实数

6

绝对值

7

因式分解问题

8

函数问题

一元二次函数 y=ax²+bx+c(a≠0)的最值问题,应该按以下步骤解题∶

(1)先看定义域是否为全体实数;

(2)若定义域为全体实数,则可判断y的最值。

(3)若定义域不为全体实数,则需要画图像,根据图像的最高点和最低点求解最值。

9

均值不等式问题

1. 使用均值不等式求最值

(1)口诀

一"正"二"定"三"相等";

"正"是用均值不等式的前提;

"定"是用均值不等式的目标;

"相等"是最值取到时的条件。

(2)常用拆项法,拆项必拆成相等的项,拆项常拆次数较小的项。

(3)和为定值积最大,积为定值和最小。

2. 常考用均值不等式证明不等式,但遇到此类问题仍应该先考虑特殊值法。

3. 对勾函数

函数y=x+x/1(或y=ax+b/x,a≠0,b≠0)的图像形如两个"对勾",因此将这个函数成为对勾函数,当x>0时,此函数有最小值2;当x<0时,此函数有最大值-2。

10

几何面积

1. 三角形

(1)求三角形的面积∶

(2)三角形的相似与全等

①相似是重点,常考两种用法∶

一是求直线的长度;

二是面积比等于相似比的平方。

②遇到既有三角形,又有平行线的图形,一般都是考查相似三角形。

③全等∶折叠问题

(3)勾股定理

(4)三角形的心

内心∶ 内切围的圆心、角平分线的交点

外心∶ 外接圆的圆心、三条边的垂直平分线的交点

重心∶ 中线的交点

垂心∶ 高线的交点

2. 平行四边形面积∶ S=bh=absinφ

3. 梯形面积∶ S=中位线×高=1/2(上底+下底)×高

4. 阴影部分面积

(1)常规方法

①常用割补法,将不规则图形转化成规则图形

②要注意图形之间的等量关系

③根据对称性解题也是常见解法

(2)快速得分

真题中出现的图形,一定是准确的,所以用尺子或量角器量一下,再进行估算是简单有效的方法。

(3)其他组合图形问题

组合图形问题一般是求面积,偶尔会出现求周长、线段等问题。

11

立体几何问题

12

点与直线的位置关系

13

直线与直线的位置关系

1. 平行

(1)若两条直线的斜率相等且截距不相等,则两条直线互相平行。

(2)若两条平行直线的方程分别为

L1∶Ax+By+C1=0,L2∶Ax+By+C2=0,

那么 L1 与 L2 之间的距离为∶

2. 相交

(1)联立两条直线的方程可以求交点∶

(2)若两条直线L1∶y=k1x+b,与 L2∶y=k2x+b,且两条直线不是互相垂直的,则两条直线的夹角a满足如下关系:

3. 重直

若两条直线互相垂直,有如下两种情况∶

(1)其中一条直线的斜率为0,另外一条直线的斜率不存在,即一条直线平行于x轴,另一条直线平行于y 轴

(2)两条直线的斜率都存在,则斜率的乘积等于一1

以上两种情况可以用下述结论代替∶

若两条直线∶

L1∶ A1x+B1y+C1=0,

L2∶ A2x+B2y+C2=0互相垂直,则A1A2+B1B2=0

14

点、直线、圆的位置关系

1. 点与圆的位置关系

点P(xo,yo),圆(x-a)2+(y-b)2 = r2,则

(1)点在圆内∶(xo-a)2+(yo-b)2 < r2

(2)点在圆上∶(xo-a)2+(yo-b)2 = r2

(3)点在圆外∶(xo-a)2+(yo-b)2 > r2

2. 直线与圆的位置关系

设圆心到直线的距离为d,圆的半径是r,则

(1)相离∶ d > r

(2)相切∶d = r

(3)相交∶ d < r

3. 圆的切线

求圆的切线方程时,常设切线的方程为Ax+By+C=0,或 y=k(x-a)+b,再利用点到直线的距离求半径,即可确定切线方程。

设圆心到直线的距离为d,圆的半径是r1,r2,则

(1)相离∶d > r1+r2

(2)相切; d = r1+r2

(3)相交∶|r1-r2| < d < r1+r2

(4)内切; d = |r1-r2|

(5)内含∶ d < |r1-r2|

易错点∶

(1)如果题干中说两个圆相切,一定要注意可能存在两种情况,即内切和外切。

(2)两圆位置关系为相交、内切、内含时,涉及两个半径之差,如果已知半径的大小,则直接用大半径减小半径,如果不知半径的大小,则必须加绝对值符号。

15

面积和对称问题

1. 常规题型

(1)求直线构成的三角形面积,求出交点坐标即可。

(2)求正方形或菱形面积,通过交点求出边长即可。

(3)求组合图形的面积,用割补法。

2. 面积的一半

如果一条直线把一个圆或者一个矩形的面积分成了一半,则这条直线必过圆的圆心或矩形的中心。

3. 其他问题

真题的解析几何问题中,一般少量出现求组合图形的周长问题。

备考指导 | 提前面试丨复试调剂|课程咨询




总部地址:郑州市二七区大学路华城国际中心9号楼13层太奇教育
电 话:0371-


(曹老师,微信同号)
(陈老师,微信同号)
(李老师,微信同号)
(韩老师,微信同号)
开封校区地址:开封市金明区河南大学新校区创业中心二楼C20/C17
电 话:(韩老师,微信同号)
(宁老师,微信同号)

到此这篇prjab公式(prd公式)的文章就介绍到这了,更多相关内容请继续浏览下面的相关推荐文章,希望大家都能在编程的领域有一番成就!

版权声明


相关文章:

  • sigmod激活函数的导数(sigmoid激活函数的倒数是())2025-07-17 22:27:05
  • mysql窗口函数用法(mysql窗口函数 是用来干嘛)2025-07-17 22:27:05
  • 一级标题格式,一二三级标题格式二级标题格式,一二三级标题格式(一级标题格式,一二三级标题格式二级标题格式,一二三级标题格式三级标题格式,一二三级标题格式字体字号)2025-07-17 22:27:05
  • kvm虚拟化技术特点(kvm虚拟化技术的实现方式)2025-07-17 22:27:05
  • 公文格式一级牢记!最权威的党政机关公文格式国家标准(含式样)二级牢记!最权威的党政机关公文格式国家标准(含式样)三级牢记!最权威的党政机关公文格式国家标准(含式样)格式(公文格式一级牢记!最权威的党政机关公文格式国家标准(含式样)二级牢记!最权威的党政机关公文格式国家标准(含式样)三级牢记!最权威的党政机关公文格式国家标准(含式样)格式模版)2025-07-17 22:27:05
  • redis哨兵模式哨兵挂了(redis哨兵模式哨兵挂了只剩2个怎么办)2025-07-17 22:27:05
  • 密码加密的方式有哪些(密码加密的方式有哪些种类)2025-07-17 22:27:05
  • 卸载程序快捷命令(卸载程序快捷方式)2025-07-17 22:27:05
  • raise三单(raise三单形式)2025-07-17 22:27:05
  • 编程入门基础知识(编程入门基础知识讲解)2025-07-17 22:27:05
  • 全屏图片