每天坚持学习一点
从完美的一天开始
加油~
要点一 指数式与对数式的互化
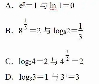
例1 将下列指数式与对数式互化:
规律方法
1.对数式与指数式的互化图:

2.并非所有指数式都可以直接化为对数式.如(-3)2=9就不能直接写成log(-3)9=2,只有a>0且a≠1,N>0时,才有ax=N⇔x=logaN.
跟踪演练1
下列指数式与对数式互化不正确的一组是( )

答案 C
解析
由指对互化的关系:ax=N⇔x=logaN可知A、B、D都正确;C中log24=2⇔22=4.
要点二 对数基本性质的应用
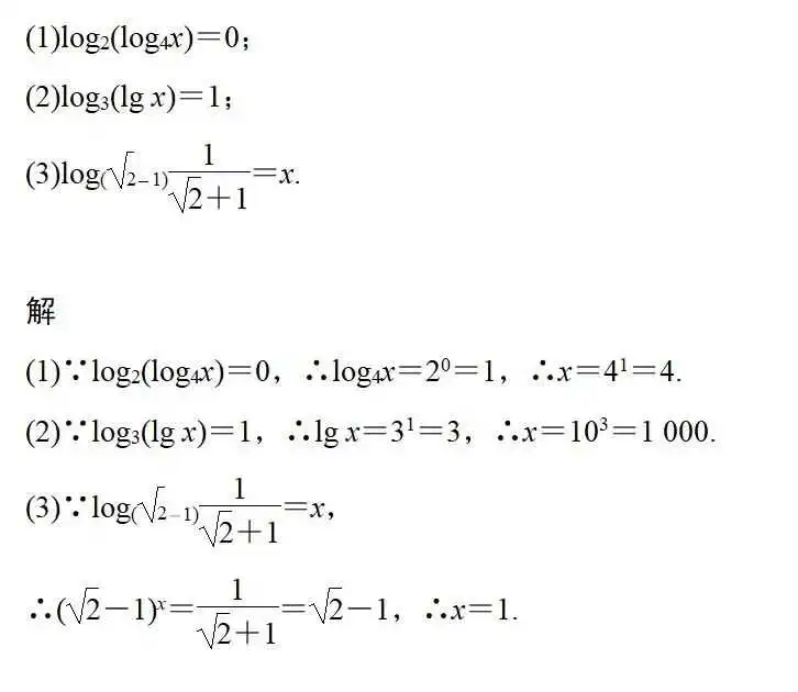
例2 求下列各式中x的值:

规律方法
1.对数运算时的常用性质:logaa=1,loga1=0.
2.使用对数的性质时,有时需要将底数或真数进行变形后才能运用;对于多重对数符号的,可以先把内层视为整体,逐层使用对数的性质.
跟踪演练2
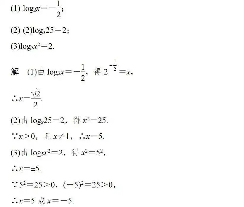
利用指数式、对数式的互化求下列各式中的x值.

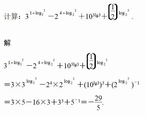
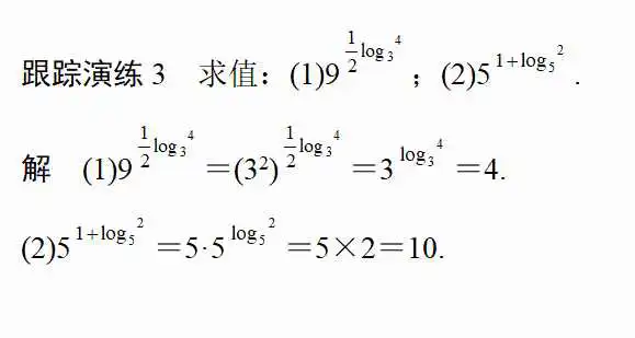
要点三 对数恒等式alogaN=N的应用

规律方法
对于指数中含有对数值的式子进行化简,应充分考虑对数恒等式的应用.这就要求首先要牢记对数恒等式,对于对数恒等式alogaN=N要注意格式:(1)它们是同底的;(2)指数中含有对数形式;(3)其值为对数的真数.

现在加入数学刷题营
与上万考友一起备战2021
微信扫描下图海报二维码即可进群哦
一次只能进一个省份刷题营
重复进群将会被群主移出群聊哦~

往 期 精 选
2020-11-28
2020-11-27
2020-11-26
2020-11-25
2020-11-24
2020-11-23
2020-11-21
2020-11-20
2020-11-19
2020-11-18
2020-11-17
2020-11-16
2020-11-14
2020-11-13
2020-11-12
2020-11-11
2020-11-10
2020-11-09
2020-11-07
2020-11-06
2020-11-05
2020-11-04
2020-11-03
2020-11-02
2020-10-31
2020-10-30
2020-10-29
2020-10-28
2020-10-27
2020-10-26
2020-10-24
2020-10-23
2020-10-22
2020-10-21
2020-10-20
2020-10-19
2020-10-17
2020-10-16
2020-10-15
2020-10-14
2020-10-13

版权声明:
本文来自互联网用户投稿,该文观点仅代表作者本人,不代表本站立场。本站仅提供信息存储空间服务,不拥有所有权,不承担相关法律责任。
如若内容造成侵权、违法违规、事实不符,请将相关资料发送至xkadmin@xkablog.com进行投诉反馈,一经查实,立即处理!
转载请注明出处,原文链接:https://www.xkablog.com/haskellbc/45475.html