当前位置:网站首页 > Haskell函数式编程 > 正文

sigmoid函数计算公式导数(sigmoid函数导数形式)



NEWS

点击蓝字 关注我们

NEWS TODAY

诱导公式

合集

常用的诱导公式

诱导公式记忆

上面这些诱导公式可以概括为:

对于π/2*k士α(k∈Z)的三角函数值,

①当k是偶数时,得到α的同名函数值,即函数名不改变;

②当k是奇数时,得到α相应的余函数值,即sin→cos;cos→sin;tan→cot,cot→tan.(奇变偶不变)

然后在前面加上把α看成锐角时原函数值的符号。(符号看象限)

例如:

sin(2π-α)=sin(4·π/2-α),k=4为偶数,所以取 sinα。当a是锐角时,2π-α∈(270º,360°),sin(2π-α)<0,符号为“—”。所以sin(2π-α)= -sinα

上述的记忆口诀是:

奇变偶不变,符号看象限。

公式右边的符号为把α视为锐角时,角k·360°+α(k∈Z),-α、180°士α,360°- a 所在象限的原三角函数值的符号可记忆

水平诱导名不变;符号看象限。

各种三角函数在四个象限的符号如何判断,也可以记住口诀

“一全正;二正弦(余割);三两切;四余弦(正割)”

这十二字口诀的意思就是说:第一象限内任何一个角的四种三角函数值都是“+”;第二象限内只有正弦是“+””,其余全部是“-”;第三象限内切函数是“+”,弦函数是“-”;第四象限内只有余弦是“+”,其余全部是“-”

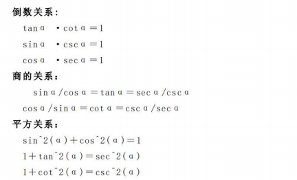
同角三角函数基本关系

同角三角函数关心六角形记忆法

构造以“上弦、中切、下割;左正、右余、中间1”的正六边形为模型。

(1)倒数关系:对角线上两个函数互为倒数;

(2)商数关系:六边形任意一顶点上的函数值等于与它相邻的两个顶点上函数值的乘积。(主要是两条虚线两端的三角函数值的乘积)。由此,可得商数关系式。

(3)平方关系:在带有阴影线的三角形中,上面两个顶点上的三角函数值的平方和等于下面顶点上的三角函数值的平方。

`END`

考一课堂

火星强数学

到此这篇sigmoid函数计算公式导数(sigmoid函数导数形式)的文章就介绍到这了,更多相关内容请继续浏览下面的相关 推荐文章,希望大家都能在编程的领域有一番成就!

版权声明


相关文章:

  • sigmoid函数求导 矩阵(sigmoid函数推导)2025-10-22 11:54:05
  • 合并数组的函数有哪些(excel数组合并函数)2025-10-22 11:54:05
  • conv1d函数(conv()函数)2025-10-22 11:54:05
  • modbus RTU报文格式(modbuspoll报文在哪看)2025-10-22 11:54:05
  • ofdm调制的作用(ofdm调制方式的优缺点)2025-10-22 11:54:05
  • docker网络模型(docker的五种网络模式总结)2025-10-22 11:54:05
  • 支付方式是什么意思(亲属卡暂无可用支付方式是什么意思)2025-10-22 11:54:05
  • cmip6模式(cmip6模式评估)2025-10-22 11:54:05
  • ewma模型(ewma模型计算公式)2025-10-22 11:54:05
  • conv函数用法(conv函数的用法)2025-10-22 11:54:05
  • 全屏图片