对数运算专题(一)

可以叫做“指数对数互化公式”,它的主要作用是:根据需要,可以把指数等式化成对数等式,或者把对数等式化成指数等式。

针对性专题
第01题

本题是指数对数互化公式的简单应用。先使用公式(1)把已知中的指数等式变形成对数等式,见蓝线上方,再把要求的式子向log₃2进行变形即可。


这是一道对数和整式的混合方程,常见的做法是:把对数项留在等号的左边,把整式项移到等号的右边,就可以得到一个标准的对数等式,见解析第一行,然后使用指数对数互化公式去掉对数符号,没有了对数符号,解起来就容易多了。


已知中是一个指数等式,先使用指数对数互化公式把它变形成对数等式,见第一条蓝线上方,再使用公式把对数等式化成指数等式即可求出x的值,见第二条蓝线上方。


明显这是一个对数等式,所以直接使用公式把它变形成指数等式①,然后解方程求出x的值。

幂的指数部分是一个对数。当两个底数可以化成同底数幂时,就可以使用这个等式,例如两个底数是“4和32”或者“3和27”或者“25和125”等等。


两个底数分别是根号3和3,可以化成同底数3的幂,所以可以使用公式(2)。
易错点:m是负数,m的指数是偶数6,这种情况一定要先把底数m换成它的绝对值“-m”,然后再进行各种运算,这样可以避免出现符号错误。


1/6和6可以化成同底数6,所以可以使用公式(2)进行计算。


只要你能观察出幂的底数与对数的底数互为倒数这一特点,你就成功了一半,剩下的任务就是变形,使之符合公式(2)的特点即可。

如果对数的真数是一个幂,则幂的指数可以移到对数的前面作为对数的系数,同样,对数的系数也可以移到真数的指数部分,作为真数的指数。


第一步“两边同时取2/3为底的对数”的目的是出现要求的对数;然后使用公式(3)即可。


把等式的两边变形成同底对数是解决这类题的通用方法。


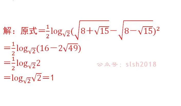
真数是两个复杂的二次根式的差,二次根式又无法开方,对于这种二次根式常常通过加平方的方法去根号,所以考虑使用公式(3)进行计算,详细过程如下。

温馨提醒:公众号菜单处有分好类的课程和专题。
版权声明:
本文来自互联网用户投稿,该文观点仅代表作者本人,不代表本站立场。本站仅提供信息存储空间服务,不拥有所有权,不承担相关法律责任。
如若内容造成侵权、违法违规、事实不符,请将相关资料发送至xkadmin@xkablog.com进行投诉反馈,一经查实,立即处理!
转载请注明出处,原文链接:https://www.xkablog.com/haskellbc/11761.html