和树的遍历类似,图的遍历也是从图中某点出发,然后按照某种方法对图中所有顶点进行访问,且仅访问一次。
但是图的遍历相对树而言要更为复杂。因为图中的任意顶点都可能与其他顶点相邻,所以在图的遍历中必须记录已被访问的顶点,避免重复访问。
根据搜索路径的不同,我们可以将遍历图的方法分为两种:
- 广度优先搜索
- 深度优先搜索。
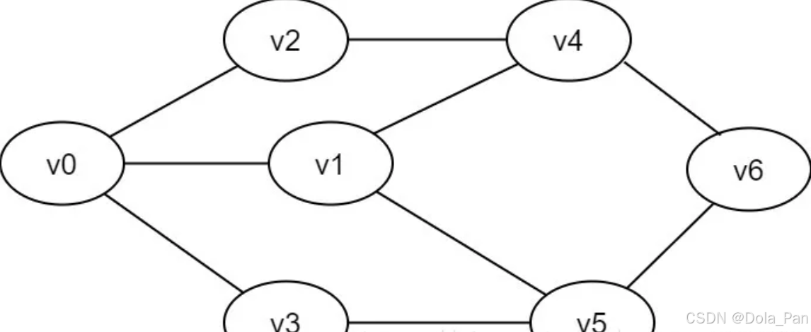
顶点对(u,v)是无序的,即(u,v)和(v,u)是同一条边。常用一对圆括号表示。

图2-1-1 无向图示例
顶点对<u,v>是有序的,它是指从顶点u到顶点 v的一条有向边。其中u是有向边的始点,v是有向边的终点。常用一对尖括号表示。

图2-1-2 有向图示例
图的每条边上可能存在具有某种含义的数值,称该数值为该边上的权。而这种带权的图被称为网。
连通图:在无向图G中,从顶点v到顶点v'有路径,则称v和v'是联通的。若图中任意两顶点v、v'∈V,v和v'之间均联通,则称G是连通图。上述两图均为连通图。
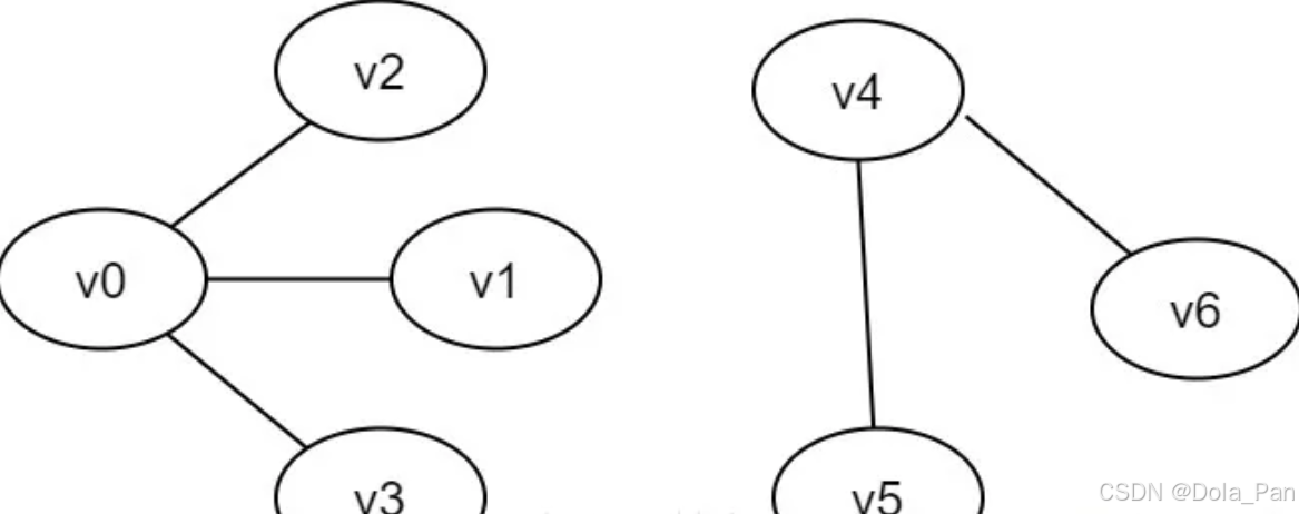
非连通图:若无向图G中,存在v和v'之间不连通,则称G是非连通图。

图2-3 非连通图示例
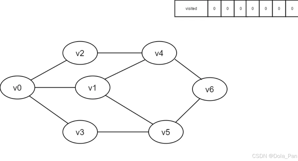
广度优先搜索类似于树的层次遍历过程。它需要借助一个队列来实现。如图2-1-1所示,要想遍历从v0到v6的每一个顶点,我们可以设v0为第一层,v1、v2、v3为第二层,v4、v5为第三层,v6为第四层,再逐个遍历每一层的每个顶点。

具体过程如下:
- 准备工作:
- 创建一个visited数组,用来记录已被访问过的顶点;
- 创建一个队列,用来存放每一层的顶点;
- 初始化图G。
- 从图中的v0开始访问,将的visited[v0]数组的值设置为true,同时将v0入队。
- 只要队列不空,则重复如下操作:
白色表示未被访问,灰色表示即将访问,黑色表示已访问。
visited数组:0表示未访问,1表示以访问。
队列:队头出元素,队尾进元素。
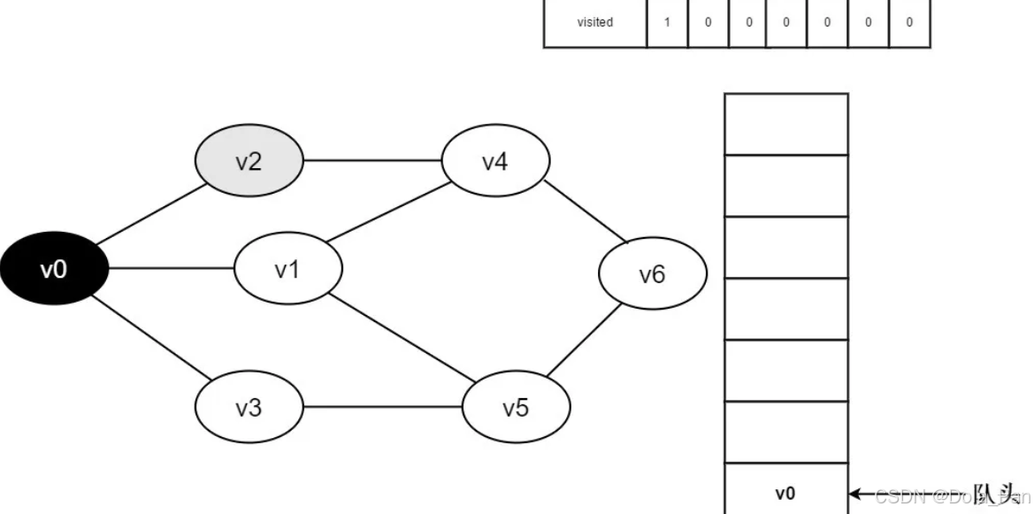
- 初始时全部顶点均未被访问,visited数组初始化为0,队列中没有元素。

图3-2-1
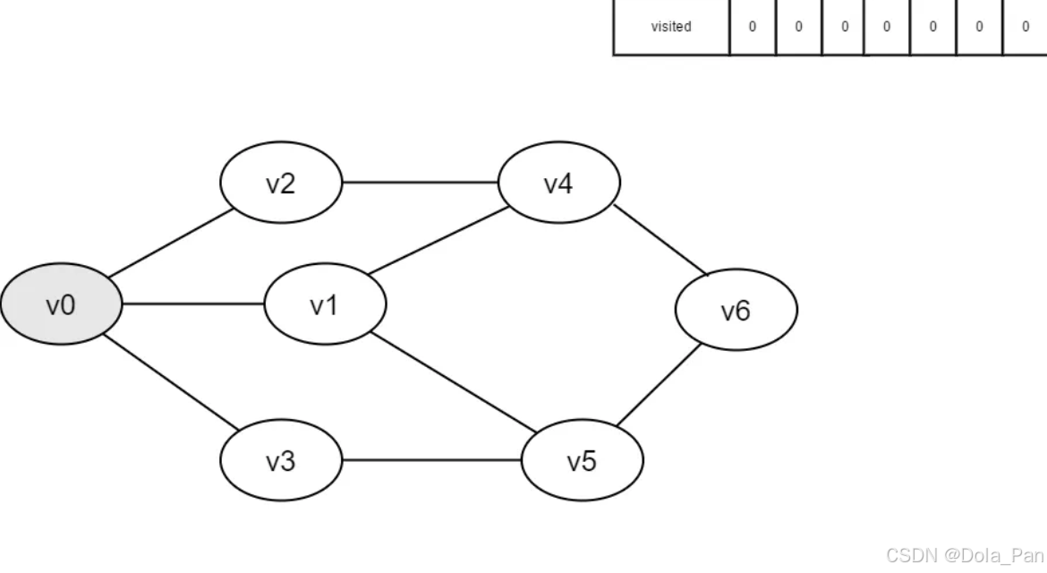
- 即将访问顶点v0。

图3-2-2
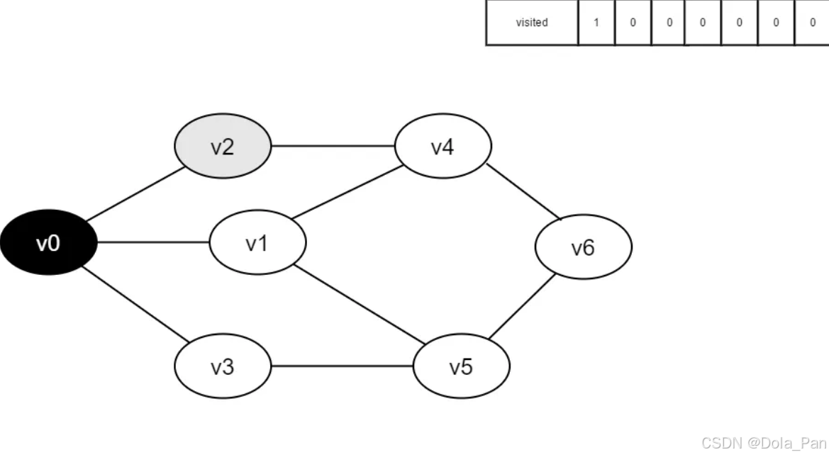
- 访问顶点v0,并置visited[0]的值为1,同时将v0入队。

图3-2-3
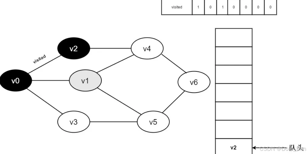
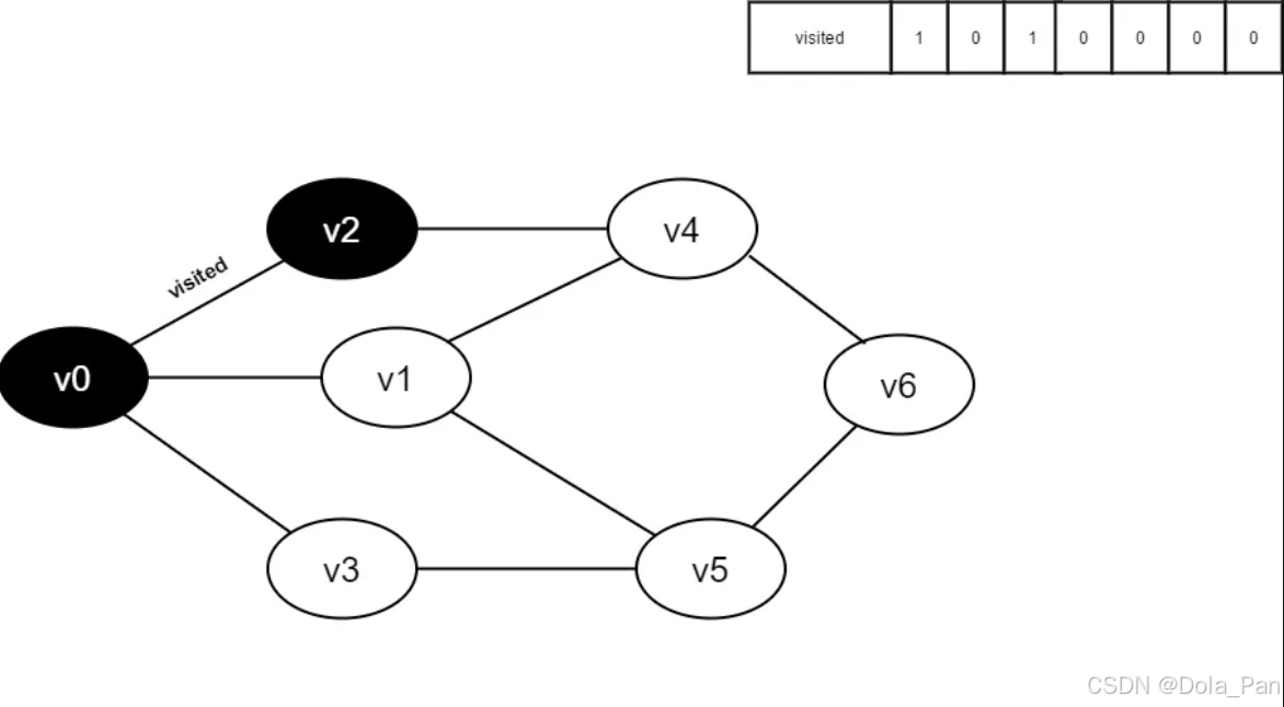
- 将v0出队,访问v0的邻接点v2。判断visited[2],因为visited[2]的值为0,访问v2。

图3-2-4
- 将visited[2]置为1,并将v2入队。

图3-2-5
- 访问v0邻接点v1。判断visited[1],因为visited[1]的值为0,访问v1。

图3-2-6
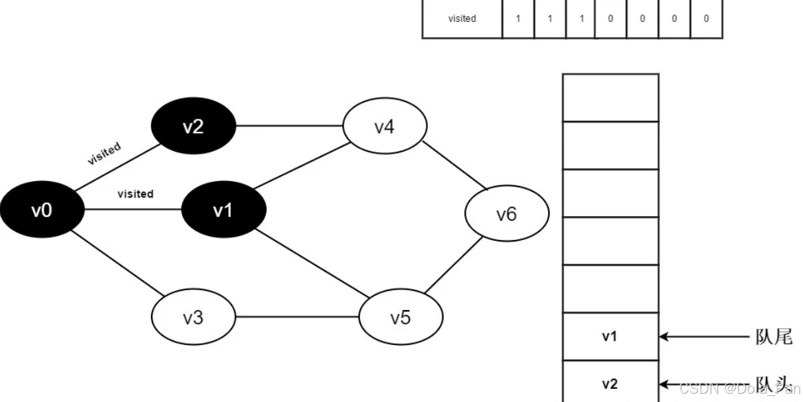
- 将visited[1]置为0,并将v1入队。

图3-2-7
- 判断visited[3],因为它的值为0,访问v3。将visited[3]置为0,并将v3入队。

图3-2-8
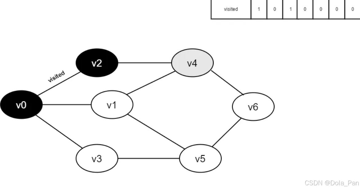
- v0的全部邻接点均已被访问完毕。将队头元素v2出队,开始访问v2的所有邻接点。
开始访问v2邻接点v0,判断visited[0],因为其值为1,不进行访问。
继续访问v2邻接点v4,判断visited[4],因为其值为0,访问v4,如下图:

图3-2-9
- 将visited[4]置为1,并将v4入队。

图3-2-10
- v2的全部邻接点均已被访问完毕。将队头元素v1出队,开始访问v1的所有邻接点。
开始访问v1邻接点v0,因为visited[0]值为1,不进行访问。
继续访问v1邻接点v4,因为visited[4]的值为1,不进行访问。
继续访问v1邻接点v5,因为visited[5]值为0,访问v5,如下图:

图3-2-11
- 将visited[5]置为1,并将v5入队。

图3-2-12
- v1的全部邻接点均已被访问完毕,将队头元素v3出队,开始访问v3的所有邻接点。
开始访问v3邻接点v0,因为visited[0]值为1,不进行访问。
继续访问v3邻接点v5,因为visited[5]值为1,不进行访问。

图3-2-13
- v3的全部邻接点均已被访问完毕,将队头元素v4出队,开始访问v4的所有邻接点。
开始访问v4的邻接点v2,因为visited[2]的值为1,不进行访问。
继续访问v4的邻接点v6,因为visited[6]的值为0,访问v6,如下图:

图3-2-14
- 将visited[6]值为1,并将v6入队。

图3-2-15
- v4的全部邻接点均已被访问完毕,将队头元素v5出队,开始访问v5的所有邻接点。
开始访问v5邻接点v3,因为visited[3]的值为1,不进行访问。
继续访问v5邻接点v6,因为visited[6]的值为1,不进行访问。

图3-2-16
- v5的全部邻接点均已被访问完毕,将队头元素v6出队,开始访问v6的所有邻接点。
开始访问v6邻接点v4,因为visited[4]的值为1,不进行访问。
继续访问v6邻接点v5,因为visited[5]的值文1,不进行访问。

图3-2-17
- 队列为空,退出循环,全部顶点均访问完毕。

图3-2-18
3.3.1用邻接矩阵表示图的广度优先搜索
3.3.2用邻接表表示图的广度优先搜索
深度优先搜索类似于树的先序遍历,具体过程如下:
准备工作:创建一个visited数组,用于记录所有被访问过的顶点。
- 从图中v0出发,访问v0。
- 找出v0的第一个未被访问的邻接点,访问该顶点。以该顶点为新顶点,重复此步骤,直至刚访问过的顶点没有未被访问的邻接点为止。
- 返回前一个访问过的仍有未被访问邻接点的顶点,继续访问该顶点的下一个未被访问领接点。
- 重复2,3步骤,直至所有顶点均被访问,搜索结束。
- 初始时所有顶点均未被访问,visited数组为空。

图4-2-1
- 即将访问v0。

图4-2-2
- 访问v0,并将visited[0]的值置为1。

图4-2-3
- 访问v0的邻接点v2,判断visited[2],因其值为0,访问v2。

图4-2-4
- 将visited[2]置为1。

图4-2-5
- 访问v2的邻接点v0,判断visited[0],其值为1,不访问。
继续访问v2的邻接点v4,判断visited[4],其值为0,访问v4。

图4-2-6
- 将visited[4]置为1。

图4-2-7
- 访问v4的邻接点v1,判断visited[1],其值为0,访问v1。

图4-2-8
- 将visited[1]置为1。

图4-2-9
- 访问v1的邻接点v0,判断visited[0],其值为1,不访问。
继续访问v1的邻接点v4,判断visited[4],其值为1,不访问。
继续访问v1的邻接点v5,判读visited[5],其值为0,访问v5。

图4-2-10
- 将visited[5]置为1。

图4-2-11
- 访问v5的邻接点v1,判断visited[1],其值为1,不访问。
继续访问v5的邻接点v3,判断visited[3],其值为0,访问v3。

图4-2-12
- 将visited[1]置为1。

图4-2-13
- 访问v3的邻接点v0,判断visited[0],其值为1,不访问。
继续访问v3的邻接点v5,判断visited[5],其值为1,不访问。
v3所有邻接点均已被访问,回溯到其上一个顶点v5,遍历v5所有邻接点。
访问v5的邻接点v6,判断visited[6],其值为0,访问v6。

图4-2-14
- 将visited[6]置为1。

图4-2-15
- 访问v6的邻接点v4,判断visited[4],其值为1,不访问。
访问v6的邻接点v5,判断visited[5],其值为1,不访问。
v6所有邻接点均已被访问,回溯到其上一个顶点v5,遍历v5剩余邻接点。

图4-2-16
- v5所有邻接点均已被访问,回溯到其上一个顶点v1。
v1所有邻接点均已被访问,回溯到其上一个顶点v4,遍历v4剩余邻接点v6。
v4所有邻接点均已被访问,回溯到其上一个顶点v2。
v2所有邻接点均已被访问,回溯到其上一个顶点v1,遍历v1剩余邻接点v3。
v1所有邻接点均已被访问,搜索结束。

图4-2-17
4.3.1用邻接矩阵表示图的深度优先搜索
邻接矩阵的创建在上述已描述过,这里不再赘述
4.3.2用邻接表表示图的深度优先搜素
邻接表的创建在上述已描述过,这里不再赘述。
到此这篇bfs广度优先搜索(广度优先搜索使用的辅助空间是什么)的文章就介绍到这了,更多相关内容请继续浏览下面的相关 推荐文章,希望大家都能在编程的领域有一番成就!版权声明:
本文来自互联网用户投稿,该文观点仅代表作者本人,不代表本站立场。本站仅提供信息存储空间服务,不拥有所有权,不承担相关法律责任。
如若内容造成侵权、违法违规、事实不符,请将相关资料发送至xkadmin@xkablog.com进行投诉反馈,一经查实,立即处理!
转载请注明出处,原文链接:https://www.xkablog.com/bcyy/14756.html