

教学研讨所选素材大多来自国家教育资源公共服务平台、人教网等权威媒体,由网友推荐,阳光备课整合,仅供各位老师学习和研究,各部分版权归原作者所有。
▍来源:网络
一、教材分析
教材截图
(考虑到部分教师未有2019版课本,这里对教材截个图)




教材分析:
1.内容:
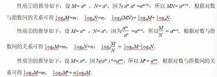
对数的运算性质以及换底公式.
2.内容解析:
数及其运算是推动数学发展的重要源泉和动力之一,是数学的基石.在对数的概念中,我们了解到:指数与对数存在着不可分割的关系,因此对数运算与指数幂运算也是紧密相连的.
对数的运算性质是进行对数计算的重要依据.指数幂运算和对数运算是两类重要的运算,指数幂运算源于数的自乘,对数则是指数幂中指数的等价表示形式,因此,利用指数运算性质可以得出相应的对数运算性质:

上述对应关系可从下面的推导过程中实现:

对数概念的提出,进一步的完善了数学运算体系.在算术运算中,运算有等级之分,加法、减法为一级运算,乘法、除法为二级运算,乘方、开方、对数为三级运算.从上述对数运算性质中,我们可以清晰地认识到对数在处理运算中的降级特征:对数中真数的乘、除、乘方运算,可以转化为对数的加、减、乘法运算.当然,对于这一特征的理解,还是要结合指、对数的关系进行:在指数式中,真数即为幂,对数即为指数,指数幂运算中的“同底数幂相乘”即为“真数相乘”,“指数相加”即为“对数相加”.
数学史上,人们经过大量的努力,制作了常用对数表和自然对数表,只要通过查表就能求出任意正数的常用对数和自然对数.现在,利用计算工具,也可以直接求出任意正数的常用对数和自然对数.对数的换底公式是进行对数运算的重要基础,利用此公式可将其他底的对数转化为以10或e为底的对数,从而方便地求出这些对数.
因此,本节课的教学重点是:以“指数与对数的关系”为指引,学习和应用对数的运算性质以及换底公式.
二、目标与目标解析
1.目标:
(1)经历对数运算性质的形成过程,理解对数的运算性质,体会对数运算的降级特征;
(2)经历换底公式的形成过程,理解换底公式,体会换底公式在对数求值中的作用;
(3)可以利用对数的运算性质、换底公式解决问题,发展数学运算核心素养.
2.目标解析:
(1)学生知道对数的运算与指数幂运算的关系,能在明晰指数幂的运算性质的基础上推导得出对数的运算性质,在应用的过程中结合数学史的相关内容体会对数运算的降级特征,理解数学家发明对数的初衷;
(2)学生能指出换底公式的作用,能推导得出换底公式;
(3)学生会用对数的运算性质解决问题,能进行对数间的化简、运算,会用换底公式将一般对数转化成自然对数或常用对数.
三、教学问题诊断分析
本节课第一个学习难点是对数的运算性质的推导,学生对于对数的运算性质的困惑主要在于对于对数概念的不熟悉,为了解决此问题,还是要紧扣指、对数之间的关系,结合指数幂的运算性质进行学习.在三个运算性质中,教师可以引导第一个性质的推导,其余的性质由学生仿照得出,在推导的过程中,可以将指数幂和对数的运算性质对照列出,以便学生理解.
第二个学习难点是对数的换底公式的推导,教科书为此设计了一组探究活动.教学时,可以充分利用这组探究活动,使得学生逐步感受提出换底公式的必要性,经历由特殊到一般的过程推导得出换底公式.
四、教学重点、难点
重点:以“指数与对数的关系”为指引,学习和应用对数的运算性质以及换底公式.
难点:
1.对数的运算性质的推导;
2.对数的换底公式的推导;
五、数学学科素养
1.数学抽象:对数的运算性质;
2.逻辑推理:换底公式的推导;
3.数学运算:对数运算性质的应用;
4.数学建模:在熟悉的实际情景中,模仿学过的数学建模过程解决问题.
六、教学过程:见《研讨素材二》
相关:
1.教案精选 | 4.3.2 对数的运算 (2019版新教材)
2.课件精选 | 4.3.2.1 对数的运算(1)·课件Ⅱ(2019版新教材)
3.课件精选 | 4.3.2.2 对数的运算(2)·课件Ⅱ(2019版新教材)





























| 2.2.1对数与对数运算 |
| 2.2.2对数函数及其性质 |
相关(请点击标题阅读):
1.1集合的概念 (2019版新教材)
1.5.1 全称量词与存在量词(2019版新教材)
2.2 基本不等式(2课时)(2019版新教材)
2.3 二次函数与一元二次方程、不等式 第2课时(2019版新教材)
3.3 幂函数教学设计(2019版新教材)
4.1指数(第1课时)4.1.1 n次方根与分数指数幂(2019版新教材)
4.1指数(第2课时)4.1.2 无理数指数幂及其运算性质(2019版新教材)
4.2 指数函数 (2课时,单元教学设计 2019版新教材)
根据文末留言的要求,考虑到初三上高一学生预习的需要,这里提供教材的练习、习题及复习参考题等等习题答案,可能有错漏,仅供各位学生朋友参考。
相关:第一、第二章更多习题答案点此



END

全
文
完


-----全文到此为止。整理不易,如果喜欢,请点下“在看”和转发到朋友圈。

特别推荐(点下列标题进入):
A.数学教师必备 | 手机版《高中数学教学手册》,请收藏!
14.【学生课本·教师用书】13个学科67家出版社直接下载;
15.人教版教科书、教师用书电子版来啦!快快下载;
免责声明
【内容由网上搜索而来,由阳光备课整合,各部分版权归原作者所有,在此向作者致谢!摘录、转载,是想为经济欠发达地区教师提高业务水平做点事,仅此而已,如有侵权,请联系删除,谢谢!】

点击↓阅读原文↓更多!
版权声明:
本文来自互联网用户投稿,该文观点仅代表作者本人,不代表本站立场。本站仅提供信息存储空间服务,不拥有所有权,不承担相关法律责任。
如若内容造成侵权、违法违规、事实不符,请将相关资料发送至xkadmin@xkablog.com进行投诉反馈,一经查实,立即处理!
转载请注明出处,原文链接:https://www.xkablog.com/bcyy/12821.html